Cours & applications
L2 - RDM

RDM séance 1

Efforts de cohésion

Résumé & support de cours

RDM Séance 1

Applications 1 sujet 

RDM séance 2

Contraintes et déformations

Résumé & support de cours

RDM Séance 2

Applications 1 sujet 

RDM Séance 2

Application 1 solution

RDM Séance 2

Applications 2 sujet 

RDM Séance 2

Applications 2 solution

RDM Séance 2

Applications 3 sujet 

RDM Séance 2

Applications 3 solution

RDM séance 3

La traction simple

Résumé & support de cours

RDM Séance 3

Applications 1 et 2 sujet

RDM Séance 3

Applications 1 et 2 solution

RDM Séance 3

Applications 3 sujet

RDM Séance 3

Application 3 solution

RDM Séance 3

Applications 4 sujet

RDM Séance 3

Application 4 solution

RDM Séance 3

Applications 5 sujet

RDM Séance 3

Application 5 solution

RDM séance 4

La torsion simple

Résumé & support de cours

RDM Séance 4

Application 1  sujet

RDM Séance 4

Application 1 solution

RDM séance 5

La flexion pure

Résumé & support de cours

RDM Séance 5

Application 1  sujet

RDM Séance 5

Application 1  solution

RDM séance 6

La flexion simple

Résumé & support de cours

RDM Séance 6

Application 1  sujet

RDM Séance 6

Application 1  solution

RDM Séance 6

Application 2  sujet

RDM Séance 6

Application 2  solution

RDM Séance 6

Application 3  sujet

RDM Séance 6

Application 4  solution

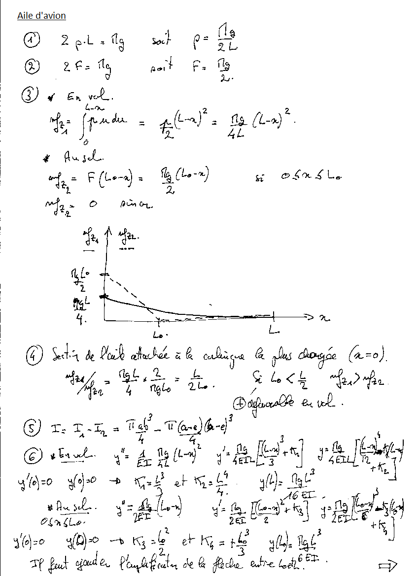
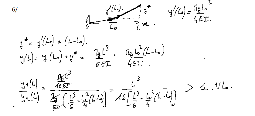
Examen janvier 2022

Examen janvier 2022

Exercice 1 - solution

Examen janvier 2022

Exercice 2 - solution

 

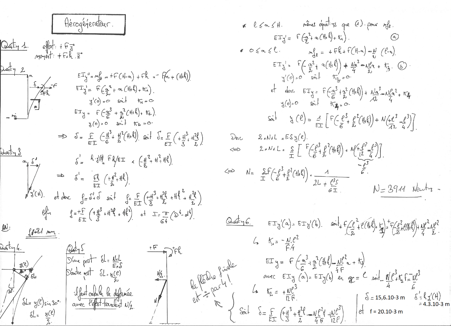
Examen décembre 2025

Examen décembre 2025

Exercices 1, 2, 3 - solution